UBND tỉnh giao Sở GD&ĐT chủ trì, phối hợp với UBND các huyện, thành phố, thị xã và chỉ đạo các cơ sở giáo dục, đơn vị có liên quan theo chức năng, nhiệm vụ, có trách nhiệm thông báo danh mục sách giáo khoa được phê duyệt kèm theo quyết định này đến các cơ sở giáo dục phổ thông trên địa bàn tỉnh để tổ chức thực hiện theo đúng quy định của pháp luật hiện hành.
Giám đốc Sở GD&ĐT phải chịu hoàn toàn trách nhiệm trước UBND tỉnh và Chủ tịch UBND tỉnh về danh mục sách giáo khoa lớp 5, lớp 9, lớp 12 sử dụng trong các cơ sở giáo dục phổ thông trên địa bàn tỉnh Hà Tĩnh từ năm học 2024 - 2025 được lựa chọn và trình UBND tỉnh phê duyệt.
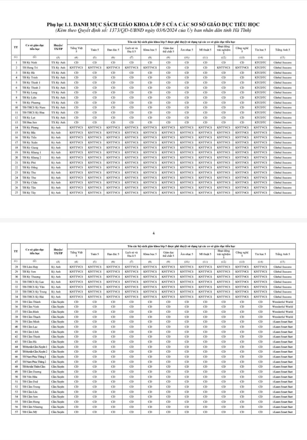
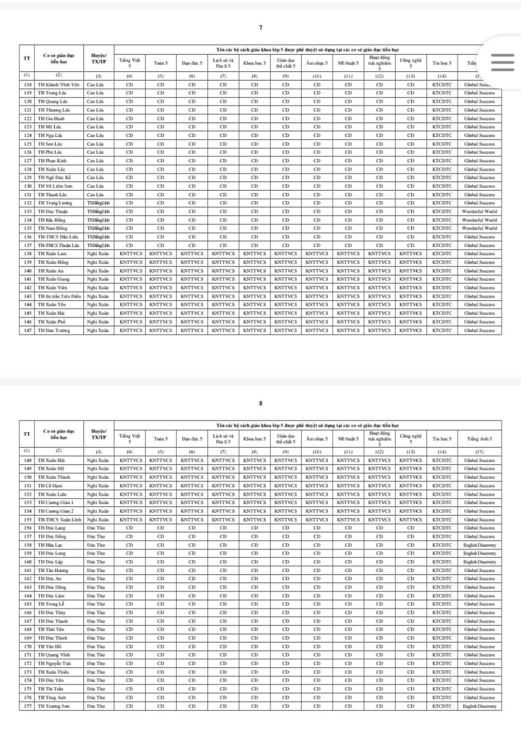
Thực hiện chỉ đạo của UBND tỉnh, sở GD&ĐT, trường TH Kỳ Ninh đăng tải thông báo "Danh mục SGK các lớp 5, 9, 12 sử dụng trong các cơ sở giáo dục phổ thông trên địa bàn Hà Tĩnh từ năm học 2024-2025" đã được phê duyệt tại Quyết định số 1373/QĐ-UBND ngày 3/6/2024.








Tác giả bài viết: Phan Tuấn
Nguồn tin: Trường TH Kỳ Ninh; http://thkyninh.thixakyanh.edu.vn:
Những tin mới hơn
Những tin cũ hơn
Đăng ký thành viên